Kombes Pol. Julihan Muntaha, mendapat Apresiasi Dari Laskar Prabowo 08 DPD Sumut Atas Kinerjanya Selama Menjabat Kabidpropam Polda Sumut
Senin, 12-01-2026 - 22:54:02 WIB
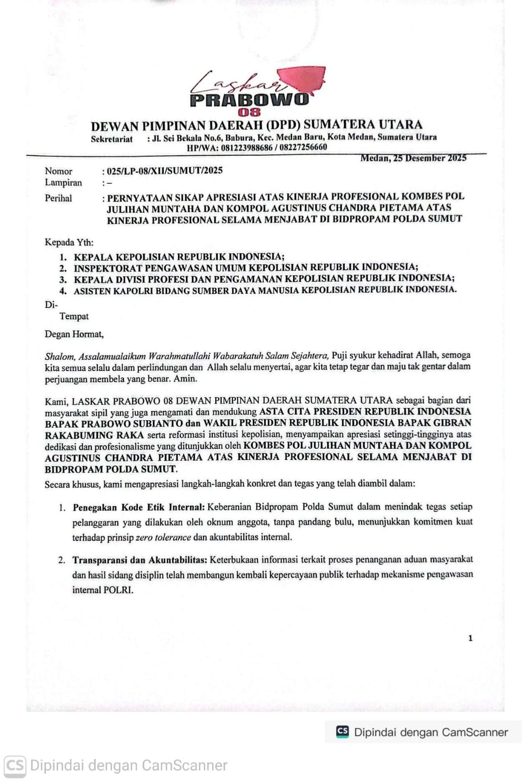
Mediasindonews.com I Medan - Laskar Prabowo 08 Dewan Pimpinan Daerah (DPD) Sumatera Utara (SUMUT), memberikan pernyataan sikap apresiasi atas kinerja profesional Kombes Pol. Julihan Muntaha, S.I.K atas kinerja profesional selama menjabat di Bidpropam Polda Sumut.
Paul J J Tambunan, SE., SH., MH Ketua Laskar Prabowo 08 DPD Sumut didampingi Daniel S Sihotang, SH Sekretaris Laskar Prabowo 08 DPD Sumut di sekretariat yang beralamat di Jl. Sei Bekala No.6, Babura, Kec. Medan Baru, Kota Medan, Sumatera Utara, mengatakan kehadiran Kombes Pol. Julihan Muntaha selama menjabat di Bidpropam Polda Sumut sangat membawa dampak positif bagi masyarakat para pencari keadilan karena kinerjanya sangat mencerminkan Motto Divisi Profesi dan Pengamanan (Propam) Polri yaitu "Garda Terdepan Penjaga Citra Polri dan Benteng Terakhir Pencari Keadilan", yang menekankan peran mereka sebagai pelindung kehormatan institusi dan pelindung bagi masyarakat yang mencari keadilan, terutama dalam penegakan disiplin dan integritas internal Polri, sesuai dengan slogan "Propam Kuat, Polri Mantap".
"Terima kasih kepada Kombes Pol Julihan Muntaha yang sudah bekerja luar biasa selama menjabat sebagai Kabidpropam Polda Sumut, hal ini terlihat dimana rilis akhir tahun 2025 Kapolda Sumatera Utara yang menyampaikan, Polda Sumatera Utara (Sumut) mencatat sebanyak 61 personel polisi dijatuhi pemberhentian tidak dengan hormat (PTDH) sepanjang tahun 2025 karena melanggar kode etik, artinya menurut kami Bidpropam Polda Sumut dimasa kepemimpinan Kombes Pol. Julihan Muntaha benar-benar menerapkan prinsip, Penegakan Kode Etik, Transparasi, akuntabilitas dan peningkatan profesionalisme"
Pernyataan sikap apresiasi atas kinerja profesional Kombes Pol. Julihan Muntaha atas kinerja profesional selama menjabat di Bidpropam Polda Sumut juga kami sampaikan melalui surat nomor: 025/LP-08/XII/SUMUT/2025 yang ditujukan kepada Kapolri, Irwasum, Kadivpropam Polri, AS SDM Polri dengan tembusan kepada Presiden Prabowo, Wakil Presiden Gibran, Ketua Kompolnas, Hashim Djojohadikusumo selaku Ketua Dewan Pembina Laskar Prabowo 08, dan Devi Taurisa, SH., MH., C.L.D selaku Ketua Umum Laskar Prabowo 08, semoga surat pernyataan sikap apresiasi ini dapat menjadi refrensi Polri sebagai bentuk tingkat kepercayaan masyarakat, karena merupakan salah satu referensi utama bagi Polri dalam mengevaluasi dan meningkatkan kinerjanya secara berkelanjutan, tutup Paul.
Komentar Anda :